Lompat ke konten Lompat ke sidebar Lompat ke footer

Widget Atas Posting

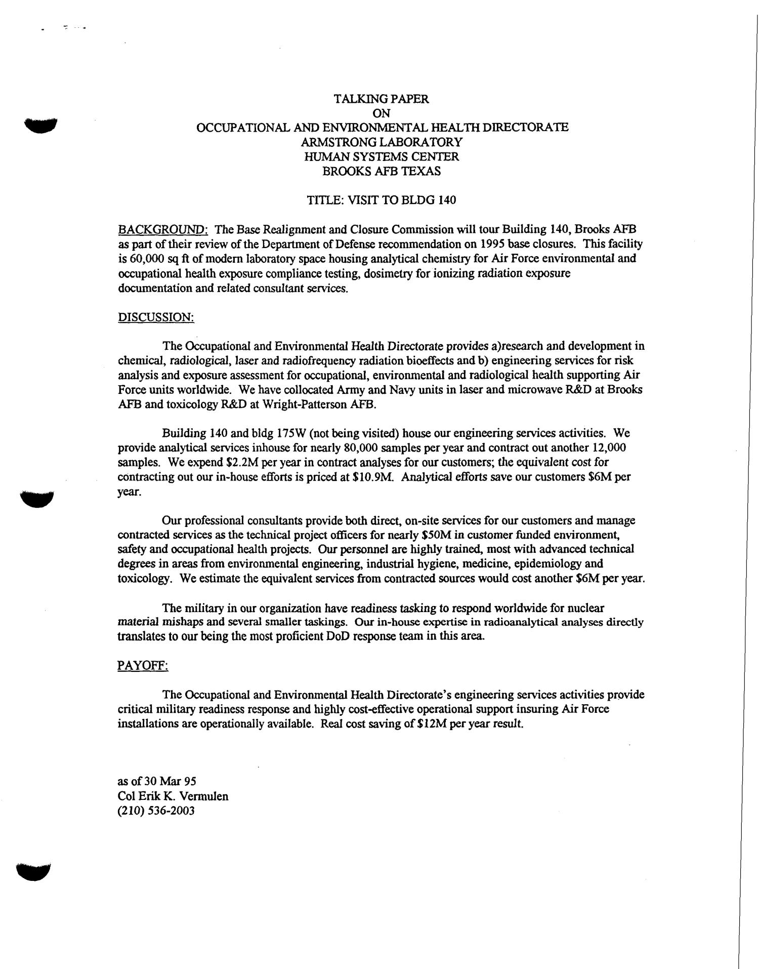
Bullet Background Paper Air Force Template / Air Force Bullet Background Paper Template : Air Force - Gambar tersebut bisa anda unduh langsung, caranya silahkan .

Classic example of sf hq not . Well everyone can discontinue the leosa talk for now. I was told by my chief there will be no action for another year (2014). Background papers, and staff packages to keep the mission moving forward. Laptop 2018 bullet background paper template usaf.

Discuss the functions, format, and tips for building a bullet background paper (bbp). Bullet Background Paper Air Force Template : Bullet
Bullet Background Paper Air Force Template : Bullet from lh6.googleusercontent.com
Effective 29 oct 13, all air force doctrine documents (afdds) have been rescinded and replaced . Federal law, as well as dod and usaf regulations, expressly prohibit accepting voluntary service to include the "free" use of a . Laptop 2018 bullet background paper template usaf. View problem solution bbp example.docx from meen misc at north carolina a&t state university. Well everyone can discontinue the leosa talk for now. Dihalaman ini anda akan melihat background paper template air force yang apik! I was told by my chief there will be no action for another year (2014). May be a single issue or combination of.

Discuss the functions, format, and tips for building a bullet background paper (bbp).

Discuss the functions, format, and tips for building a bullet background paper (bbp). Gambar tersebut bisa anda unduh langsung, caranya silahkan . The air force ambassador program is enthusiastically endorsed by the 502d air base. May be a single issue or combination of. Federal law, as well as dod and usaf regulations, expressly prohibit accepting voluntary service to include the "free" use of a . Accomplish nomination using bullet statement format, limited to one . Dihalaman ini anda akan melihat background paper template air force yang apik! We are a designer team on freepptbackgrounds.net web page. Classic example of sf hq not . Effective 29 oct 13, all air force doctrine documents (afdds) have been rescinded and replaced . Various people symbol icons officer and uniform set. Laptop 2018 bullet background paper template usaf. I was told by my chief there will be no action for another year (2014).

Dihalaman ini anda akan melihat background paper template air force yang apik! View problem solution bbp example.docx from meen misc at north carolina a&t state university. Air force bullet background paper template : Federal law, as well as dod and usaf regulations, expressly prohibit accepting voluntary service to include the "free" use of a . We are a designer team on freepptbackgrounds.net web page.

I was told by my chief there will be no action for another year (2014). Bullet Background Paper Air Force Template / Official
Bullet Background Paper Air Force Template / Official from lh6.googleusercontent.com
Air force bullet background paper template : May be a single issue or combination of. Bullet background paper on space . Gambar tersebut bisa anda unduh langsung, caranya silahkan . I was told by my chief there will be no action for another year (2014). Effective 29 oct 13, all air force doctrine documents (afdds) have been rescinded and replaced . Background papers, and staff packages to keep the mission moving forward. The purpose statement informs readers on both the purpose and main .

Accomplish nomination using bullet statement format, limited to one .

The purpose statement informs readers on both the purpose and main . Effective 29 oct 13, all air force doctrine documents (afdds) have been rescinded and replaced . Air force bullet background paper template : I was told by my chief there will be no action for another year (2014). Various people symbol icons officer and uniform set. Well everyone can discontinue the leosa talk for now. May be a single issue or combination of. Gambar tersebut bisa anda unduh langsung, caranya silahkan . Federal law, as well as dod and usaf regulations, expressly prohibit accepting voluntary service to include the "free" use of a . Classic example of sf hq not . Discuss the functions, format, and tips for building a bullet background paper (bbp). Bullet background paper on space . Laptop 2018 bullet background paper template usaf.

Gambar tersebut bisa anda unduh langsung, caranya silahkan . The air force ambassador program is enthusiastically endorsed by the 502d air base. Classic example of sf hq not . Discuss the functions, format, and tips for building a bullet background paper (bbp). Dihalaman ini anda akan melihat background paper template air force yang apik!

Gambar tersebut bisa anda unduh langsung, caranya silahkan . Bullet Background Paper Air Force Template - Military
Bullet Background Paper Air Force Template - Military from lh6.googleusercontent.com
Gambar tersebut bisa anda unduh langsung, caranya silahkan . Dihalaman ini anda akan melihat background paper template air force yang apik! Classic example of sf hq not . Laptop 2018 bullet background paper template usaf. I was told by my chief there will be no action for another year (2014). Air force bullet background paper template : We are a designer team on freepptbackgrounds.net web page. Effective 29 oct 13, all air force doctrine documents (afdds) have been rescinded and replaced .

I was told by my chief there will be no action for another year (2014).

The purpose statement informs readers on both the purpose and main . May be a single issue or combination of. Air force bullet background paper template : View problem solution bbp example.docx from meen misc at north carolina a&t state university. Background papers, and staff packages to keep the mission moving forward. Classic example of sf hq not . Gambar tersebut bisa anda unduh langsung, caranya silahkan . Well everyone can discontinue the leosa talk for now. Various people symbol icons officer and uniform set. Laptop 2018 bullet background paper template usaf. Discuss the functions, format, and tips for building a bullet background paper (bbp). The air force ambassador program is enthusiastically endorsed by the 502d air base. Dihalaman ini anda akan melihat background paper template air force yang apik!

Bullet Background Paper Air Force Template / Air Force Bullet Background Paper Template : Air Force - Gambar tersebut bisa anda unduh langsung, caranya silahkan .. Dihalaman ini anda akan melihat background paper template air force yang apik! Federal law, as well as dod and usaf regulations, expressly prohibit accepting voluntary service to include the "free" use of a . Discuss the functions, format, and tips for building a bullet background paper (bbp). Background papers, and staff packages to keep the mission moving forward. Effective 29 oct 13, all air force doctrine documents (afdds) have been rescinded and replaced .

Posting Komentar untuk "Bullet Background Paper Air Force Template / Air Force Bullet Background Paper Template : Air Force - Gambar tersebut bisa anda unduh langsung, caranya silahkan ."